







Colorado draw results are near (elk emails are trickling out). And... if you want to do some digging and absolutely can't wait, you can pull up your 2018 Colorado deer, antelope and moose results a little early.
June 6 update: As of this morning CPW has unpublished the links before. For the sake of CPW... I will not be uploading the pdf documents to download since they might have taken them down for a reason.
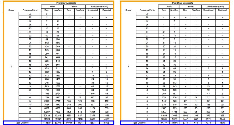
To do that you need to download the 2018 draw recap for each species:
From there, you just need to look at the unit and season you applied for, then compare at what point level you applied, with how many were successful. If you are lucky and only a handful of people applied at your point level, and all of them drew... then you will know you have a deer or antelope tag. See the example below of how you can check your results early.
You'll also see that 12,662 more nonresidents (66.2% change) and 2,580 more residents (5.27% change) applied this year with the new front fee change of 2018. Many people have been patiently waiting to see how this change will impact them in future years. All of these new applicants could have an impact on the draw down the road if those people continue to build points. My thinking is it won’t be that bad on deer and elk right away. So I feel the impact will be seen a lot further down the road. The easy to draw tags will stay relatively easy to draw for a handful of years. But if you haven’t been putting in because the fees scared you in deer and elk before the 2018 change, then you’re probably not planning on hunting that year or a few years anyway. So, in this case, they may just start stacking up points in hopes they pull a middle-level tag or will eventually see how bad creep is and then they might dump it in easy to draw hunts way down the road. So even though it could go both ways, the impact will take awhile I believe. Then again... these people who haven’t put in before, will now seriously have to decide about the fuel costs, etc. As it takes a lot to head out of state to hunt and Colorado deer tags are already fairly cheap, so I don’t see people willing to rush out to Colorado to deer hunt because of this.
Comparison of 2017 and 2018 draw at zero points for deer
So, after that is all said and done... you can see the potential point creep and you can sort of figure out your draw results. Best of luck this season!
Get the 2018 deer draw recap here
Get the 2018 antelope draw recap here
Get the 2018 moose draw recap here